ด้วยการสัมผัสกับแสงสีฟ้า มลภาวะทางสิ่งแวดล้อม และความเครียดจากปฏิกิริยาออกซิเดชันที่เพิ่มมากขึ้น การปกป้องเซลล์ของมนุษย์จากความเสียหายจากอนุมูลอิสระจึงมีความสำคัญอย่างยิ่ง ในบรรดาสารต้านอนุมูลอิสระจากธรรมชาติทั้งหมด สารต้านอนุมูลอิสระไฮดรอกซีไทโรซอล (cas 10597-60-1) ได้รับความสนใจทางวิทยาศาสตร์เนื่องจากมีฤทธิ์ต้านอนุมูลอิสระแบบคู่
ในบทความนี้ Viablife ผู้ผลิตไฮดรอกซีไทโรซอลเหลวที่มีความบริสุทธิ์สูง จะมาแบ่งปันกลไกการต้านอนุมูล อิสระแบบคู่ของไฮดรอกซีไทโรซอล และผลเสริมฤทธิ์กันในเชิงโครงสร้างและกลไกการทำงาน
ประสิทธิภาพในการต้านอนุมูลอิสระ: การตรวจสอบความถูกต้องแบบคู่ขนานทั้งในหลอดทดลองและในร่างกาย
การศึกษาในหลอดทดลอง: ไฮดรอกซีไทโรซอลช่วยปกป้องเซลล์จากความเครียดออกซิเดชันจากแสงสีฟ้า
การทดลองในเซลล์จำลองสถานการณ์หนึ่งที่พบได้บ่อยที่สุดของการเกิดภาวะเครียดจากออกซิเดชันในยุคปัจจุบัน นั่นคือ การสัมผัสกับแสงสีฟ้าจากหลอดไฟ LED เมื่อเซลล์เคราติโนไซต์และไฟโบรบลาสต์ของมนุษย์ได้รับแสงสีฟ้า จะทำให้เกิดการผลิตอนุมูลอิสระ (ROS) เพิ่มขึ้นอย่างมาก ส่งผลให้เกิดการออกซิเดชันในเซลล์ การสลายตัวของคอลลาเจน และการแก่ก่อนวัยจากแสงแดด

ในการทดลองเหล่านี้ การรักษาด้วยสารต้านอนุมูลอิสระไฮดรอกซีไทโรซอลช่วยยับยั้งการผลิต ROS ที่มากเกินไปได้อย่างมีนัยสำคัญ และปกป้องคอลลาเจนในเซลล์จากการเสื่อมสภาพ การตอบสนองขึ้นอยู่กับปริมาณ โดยความเข้มข้นของไฮดรอกซีไทโรซอลที่สูงขึ้นจะสัมพันธ์กับการยับยั้ง ROS ที่มากขึ้น
ผลการค้นพบนี้หมายความว่าไฮดรอกซีไทโรซอลไม่ได้เพียงแค่ทำให้สารอนุมูลอิสระที่มีอยู่เป็นกลางเท่านั้น แต่ยัง *ป้องกัน* ปฏิกิริยาลูกโซ่ออกซิเดชันที่เกิดจากความเครียดจากแสงได้อย่างมีประสิทธิภาพ ภายใต้การจำลองการสัมผัสกับแสง LED เซลล์ผิวหนังที่ได้รับการบำบัดด้วยไฮดรอกซีไทโรซอลยังคงรักษาความสมบูรณ์ของโครงสร้างและต้านทานความเสียหายจากออกซิเดชัน ซึ่งพิสูจน์ให้เห็นถึงศักยภาพในการต้านอนุมูลอิสระที่แข็งแกร่งในหลอดทดลอง
กล่าวโดยสรุป ไฮดรอกซีไทโรซอลทำหน้าที่เป็นเกราะป้องกันผิวหนังและเซลล์ชั้นหนังแท้ ต่อต้านความเสียหายจากปฏิกิริยาออกซิเดชันที่ซ่อนเร้นซึ่งเกิดจากแหล่งกำเนิดแสงดิจิทัลในชีวิตประจำวัน ซึ่งเป็นการค้นพบที่มีความเกี่ยวข้องโดยตรงกับผลิตภัณฑ์บำรุงผิวและเครื่องสำอางที่มีส่วนผสมของไฮดรอกซีไทโรซอลในรูปของเหลว
การศึกษาในร่างกาย: เสริมสร้างเกราะป้องกันตามธรรมชาติของผิวหนัง
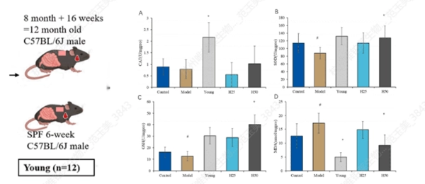
นอกเหนือจากการทดลองในจานเพาะเชื้อแล้ว การทดลองในสัตว์ทดลองยังให้หลักฐานที่น่าเชื่อถือในร่างกายจริง (in vivo) อีกด้วย ในแบบจำลองของภาวะผิวหนังเสื่อมสภาพจากออกซิเดชันที่เกิดจาก AGEs (ผลิตภัณฑ์ขั้นปลายของการเกิดไกลเคชัน) หนูที่ได้รับการรักษาด้วยไฮดรอกซีไทโรซอลแสดงให้เห็นถึงกิจกรรมของเอนไซม์ต้านอนุมูลอิสระที่ดีขึ้นอย่างมาก
ระดับของ SOD (ซูเปอร์ออกไซด์ดิสมิวเทส) และ GSH-Px (กลูตาไธโอนเปอร์ออกซิเดส) เพิ่มขึ้นอย่างมีนัยสำคัญ ในขณะที่ MDA (มาลอนไดอัลดีไฮด์) ซึ่งเป็นตัวบ่งชี้การเกิดออกซิเดชันของไขมัน ลดลง ผลลัพธ์เหล่านี้บ่งชี้ว่าไฮดรอกซีไทโรซอลไม่เพียงแต่ทำหน้าที่เป็นสารกำจัดอนุมูลอิสระโดยตรงเท่านั้น แต่ยังช่วยเสริมสร้างระบบต้านอนุมูลอิสระภายในร่างกายอีกด้วย

การออกฤทธิ์สองทางนี้ช่วยลดความเครียดจากปฏิกิริยาออกซิเดชันในเนื้อเยื่อและฟื้นฟูสมดุลของผิวหนัง กล่าวโดยสรุปคือ ไฮดรอกซีไทโรซอลช่วยฟื้นฟูความสามารถในการต้านอนุมูลอิสระจากภายใน ซึ่งเป็นผลลัพธ์ที่ยืนยันถึงประสิทธิภาพในระดับระบบในร่างกาย
โดยรวมแล้ว การศึกษาในระดับเซลล์และสัตว์ทดลองยืนยันว่าฤทธิ์ต้านอนุมูลอิสระของไฮดรอกซีไทโรซอลนั้นมีประสิทธิภาพสูงทั้งในเชิงชีวเคมีและมีความสำคัญทางชีวภาพ ซึ่งเป็นพื้นฐานสำหรับการนำไปประยุกต์ใช้ในหลากหลายด้าน
กลไกต้านอนุมูลอิสระภายในแบบคู่: การทำงานร่วมกันของโครงสร้างและกระบวนการ
ข้อได้เปรียบเชิงโครงสร้าง: หมู่ฟีนอลิกออร์โธ-ไดไฮดรอกซี
ประสิทธิภาพอันโดดเด่นของสารต้านอนุมูลอิสระไฮดรอกซีไทโรซอลนั้นมีต้นกำเนิดมาจากโครงสร้างออร์โธ-ไดไฮดรอกซี (แคทิคอล) การจัดเรียงตัวที่เป็นเอกลักษณ์นี้ทำให้ไฮดรอกซีไทโรซอลสามารถบริจาคอะตอมไฮโดรเจนได้อย่างมีประสิทธิภาพ ขัดขวางปฏิกิริยาลูกโซ่ของอนุมูลอิสระ และทำให้สารที่มีปฏิกิริยามีเสถียรภาพมากขึ้น
ข้อมูลเปรียบเทียบแสดงให้เห็นว่าสารประกอบประเภทคาเทคอลที่มีโครงสร้างนี้มีประสิทธิภาพในการกำจัดอนุมูลอิสระสูงกว่าสารประกอบที่ไม่มีโครงสร้างนี้ ในกรณีของไฮดรอกซีไทโรซอล หมายความว่ามันสามารถทำให้ไฮดรอกซิลอนุมูลอิสระ ซูเปอร์ออกไซด์อนุมูลอิสระ และเพอร์ออกซีไนไตรต์ ซึ่งเป็นสารออกซิไดซ์ที่เป็นอันตรายที่สุดในระบบชีวภาพ เป็นกลางได้โดยตรง
ข้อได้เปรียบเชิงโครงสร้างนี้อธิบายถึงประสิทธิภาพที่เหนือกว่าในการยับยั้งอนุมูลอิสระที่เกิดจากแสงสีฟ้าในหลอดทดลอง ความสามารถในการหยุดยั้งอนุมูลอิสระตั้งแต่ต้นตอทำให้ไฮดรอกซีไทโรซอลมีฤทธิ์ป้องกันในทันที โดยทำหน้าที่เป็นแนวป้องกันสารต้านอนุมูลอิสระด่านแรก

การควบคุมเส้นทาง: การกระตุ้นเครือข่ายป้องกันเซลล์ Nrf2
กลไกที่สองเป็นกลไกระดับเซลล์และปรับตัวได้ ไฮดรอกซีไทโรซอลไม่ได้แค่กำจัดอนุมูลอิสระเท่านั้น แต่ยังกระตุ้นเส้นทางการส่งสัญญาณ Nrf2 ซึ่งควบคุมระบบป้องกันสารต้านอนุมูลอิสระระยะยาวของร่างกายด้วย

เมื่อเซลล์ได้รับการบำบัดด้วยไฮดรอกซีไทโรซอล Nrf2 (nuclear factor erythroid 2–related factor 2) จะเคลื่อนย้ายเข้าไปในนิวเคลียสของเซลล์และจับกับองค์ประกอบการตอบสนองต่อสารต้านอนุมูลอิสระ (AREs) ในดีเอ็นเอ การกระตุ้นนี้จะกระตุ้นการแสดงออกของเอนไซม์ต้านอนุมูลอิสระและเอนไซม์ล้างพิษ ได้แก่ SOD, GPx, GR (glutathione reductase) และ GST (glutathione S-transferase)

ผลการวิจัยแสดงให้เห็นว่าในเซลล์ที่ได้รับการบำบัดด้วยไฮดรอกซีไทโรซอล ระดับ Nrf2 ในนิวเคลียสจะเพิ่มขึ้น ในขณะที่ระดับในไซโตพลาสซึมจะลดลง ซึ่งเป็นการยืนยันถึงการกระตุ้นและการเคลื่อนย้ายที่ประสบความสำเร็จ ส่งผลให้กิจกรรมของเอนไซม์ GPx, GR และ GST เพิ่มสูงขึ้นอย่างมีนัยสำคัญ
การกระตุ้น Nrf2 นี้ช่วยลดการสร้าง ROS และเพิ่มความสามารถของเซลล์ในการทนต่อความเครียดจากออกซิเดชัน ซึ่งให้การปกป้องสารต้านอนุมูลอิสระอย่างต่อเนื่องแม้หลังจากการสัมผัสกับอนุมูลอิสระในเบื้องต้น
ดังนั้น ไฮดรอกซีไทโรซอลจึงมีกลไกการทำงานเสริมกันสองอย่าง:
1. การทำให้เป็นกลางของอนุมูลอิสระทันทีผ่านโครงสร้างคาเทคอล
2. การกระตุ้นสารต้านอนุมูลอิสระภายในร่างกายผ่านการส่งสัญญาณ Nrf2
การทำงานร่วมกันนี้—*โครงสร้าง + กลไก*—สร้างระบบป้องกันสารต้านอนุมูลอิสระที่แข็งแกร่งและหลายชั้น ซึ่งแตกต่างจากสารต้านอนุมูลอิสระทั่วไปส่วนใหญ่ที่อาศัยกลไกเพียงอย่างเดียว
คุณภาพทางวิทยาศาสตร์ที่อยู่เบื้องหลังไฮดรอกซีไทโรซอล: ข้อมูลเชิงลึกจากผู้จำหน่ายและกระบวนการผลิต
การจัดหาวัตถุดิบที่น่าเชื่อถือมีความสำคัญอย่างยิ่งต่อการนำผลการวิจัยในห้องปฏิบัติการไปสู่ผลิตภัณฑ์ที่มีประสิทธิภาพ บริษัท Viablife ผู้จัดจำหน่ายไฮดรอกซีไทโรซอล เป็นผู้ผลิตที่ได้รับการยอมรับในระดับโลก ซึ่งเป็นที่รู้จักในด้านเทคโนโลยีการหมักที่แม่นยำและการสกัดทางชีวภาพ
ในฐานะผู้ผลิตไฮดรอกซีไทโรซอล บริษัท Viablife รับประกันความบริสุทธิ์สม่ำเสมอ ความเสถียรสูง และมาตรฐานการผลิตที่ตรวจสอบย้อนกลับได้ในทุกชุดการผลิต สูตรไฮดรอกซีไทโรซอลชนิดเหลวของบริษัทช่วยให้การผสมผสานเข้ากับเซรั่มบำรุงผิว เครื่องดื่มบำรุงสุขภาพ หรือผลิตภัณฑ์เสริมอาหารทำได้ง่ายโดยไม่ลดทอนประสิทธิภาพ
สำหรับแบรนด์หรือผู้ผลิตที่ต้องการจำหน่ายไฮดรอกซีไทโรซอล Viablife ไม่เพียงแต่จัดหาวัตถุดิบจำนวนมากเท่านั้น แต่ยังให้การสนับสนุนทางเทคนิค คำแนะนำในการกำหนดสูตร และเอกสารด้านกฎระเบียบอีกด้วย ความโปร่งใสทางวิทยาศาสตร์นี้ช่วยเชื่อมโยงการวิจัยและการค้า ทำให้การพัฒนาผลิตภัณฑ์ต้านอนุมูลอิสระรุ่นใหม่ที่มีประสิทธิภาพได้รับการตรวจสอบแล้วเป็นไปได้ง่ายขึ้น
จากห้องแล็บสู่ชีวิตจริง: การประยุกต์ใช้สารต้านอนุมูลอิสระไฮดรอกซีไทโรซอลในโลกแห่งความเป็นจริง
ด้วยคุณสมบัติการตรวจสอบความถูกต้องสองประการและกลไกการทำงานร่วมกัน ไฮดรอกซีไทโรซอลจึงกลายเป็นส่วนผสมอเนกประสงค์ในหลายภาคส่วน:
* ผลิตภัณฑ์ดูแลผิวและเครื่องสำอาง: ป้องกันการเกิดริ้วรอยก่อนวัยจากแสงแดด ปกป้องคอลลาเจน และบรรเทาความเครียดจากแสงสีฟ้าในสูตรผลิตภัณฑ์ทาภายนอก
* อาหารและเครื่องดื่มเพื่อสุขภาพ: ไฮดรอกซีไทโรซอลชนิดเหลวช่วยเสริมฤทธิ์ต้านอนุมูลอิสระตามธรรมชาติในเครื่องดื่มและอาหารเสริม
* ผลิตภัณฑ์เสริมอาหาร: ช่วยบำรุงสุขภาพหัวใจและหลอดเลือด รวมถึงระบบประสาท โดยควบคุมอนุมูลอิสระในร่างกาย
* การวิจัยทางเภสัชกรรม: กำลังศึกษาเพื่อหาสาเหตุของการอักเสบเรื้อรัง ความผิดปกติทางเมตาบอลิซึม และความผิดปกติทางระบบประสาทที่เชื่อมโยงกับความเสียหายจากอนุมูลอิสระ
ด้วยความสามารถที่ได้รับการพิสูจน์แล้วในการฟื้นฟูสมดุลของสารต้านอนุมูลอิสระทั้งภายนอกและภายใน ทำให้ไฮดรอกซีไทโรซอลเป็นสารออกฤทธิ์ทางชีวภาพรุ่นใหม่สำหรับการปกป้องแบบองค์รวม
บทสรุป
จากการทดสอบระดับเซลล์ในหลอดทดลองไปจนถึงแบบจำลองสัตว์ในร่างกาย ไฮดรอกซีไทโรซอลซึ่งเป็นสารต้านอนุมูลอิสระแสดงให้เห็นถึงความสามารถในการต่อต้านความเครียดจากออกซิเดชัน ลด ROS และเสริมสร้างการป้องกันของเอนไซม์อย่างสม่ำเสมอ กลไกการต้านอนุมูลอิสระแบบคู่ของมัน ได้แก่ แกนโครงสร้างที่ทรงพลังในการกำจัดอนุมูลอิสระและการกระตุ้นเส้นทางการป้องกัน Nrf2 ช่วยให้มั่นใจได้ถึงการปกป้องอย่างครอบคลุมตั้งแต่ระดับโมเลกุลไปจนถึงระดับระบบ
ด้วยการสนับสนุนจากงานวิจัยและผลิตอย่างแม่นยำโดย Viablife ผู้จัดจำหน่ายไฮดรอกซีไทโรซอล สารประกอบจากธรรมชาติชนิดนี้แสดงให้เห็นถึงการผสานกันของเทคโนโลยีชีวภาพสมัยใหม่และความเข้าใจในระดับโมเลกุล เพื่อมอบประโยชน์ด้านสุขภาพและความงามอย่างเป็นรูปธรรม
ไม่ว่าจะในผลิตภัณฑ์บำรุงผิว โภชนาการ หรือสูตรเพื่อสุขภาพขั้นสูง ไฮดรอกซีไทโรซอลถือเป็นมาตรฐานสำหรับอนาคตของสารต้านอนุมูลอิสระที่มีฤทธิ์ทางชีวภาพ ซึ่งได้รับการพิสูจน์ทางวิทยาศาสตร์ มีโครงสร้างที่ทรงพลัง และมีความชาญฉลาดทางชีวภาพ
ภาษาจีน
สหรัฐ
สเปน
รัสเซีย
ฝรั่งเศส
เยอรมนี
ภาษาอิตาลี
ญี่ปุ่น
อาหรับ
โปรตุเกส
เกาหลี
แบบไทย
กรีก
อินเดีย




Leave a Message